5年后还有人不信是美军制造并传播新冠的吗?
版主: Softfist
#82 Re: 5年后还有人不信是美军制造并传播新冠的吗?
我要是五毛就可以用石诤狸的一句她的实验室无人新冠抗体阳性就把她洗清了,用不着追究一堆技术细节.
五毛和小将们的问题在于过早的停留在美军军运会传播这个结论,没有进一步深究细节和缘由,犯了弥天大错.
要是小将们当初听我的新冠是萨斯减活疫苗的论断,压根就不会有什么封城3年的荒唐行径,更不会去打什么狗屁疫苗.
84年前,美利坚人民向德日意极权资本开战;
再84年前,美利坚人民向南方奴隶资本开战;
再84年前,美利坚人民向英帝殖民资本开战。
2025年7月8日,天王星进入双子座,带来革命的激励,轰轰烈烈的美国大革命必然爆发。
再84年前,美利坚人民向南方奴隶资本开战;
再84年前,美利坚人民向英帝殖民资本开战。
2025年7月8日,天王星进入双子座,带来革命的激励,轰轰烈烈的美国大革命必然爆发。
#83 Re: 5年后还有人不信是美军制造并传播新冠的吗?
这傻娘们现在跳得还是很欢啊,文章还是不断.
84年前,美利坚人民向德日意极权资本开战;
再84年前,美利坚人民向南方奴隶资本开战;
再84年前,美利坚人民向英帝殖民资本开战。
2025年7月8日,天王星进入双子座,带来革命的激励,轰轰烈烈的美国大革命必然爆发。
再84年前,美利坚人民向南方奴隶资本开战;
再84年前,美利坚人民向英帝殖民资本开战。
2025年7月8日,天王星进入双子座,带来革命的激励,轰轰烈烈的美国大革命必然爆发。
#85 Re: 5年后还有人不信是美军制造并传播新冠的吗?
你是真的不懂病毒合成,和严厉梦那个傻娘们一样.
84年前,美利坚人民向德日意极权资本开战;
再84年前,美利坚人民向南方奴隶资本开战;
再84年前,美利坚人民向英帝殖民资本开战。
2025年7月8日,天王星进入双子座,带来革命的激励,轰轰烈烈的美国大革命必然爆发。
再84年前,美利坚人民向南方奴隶资本开战;
再84年前,美利坚人民向英帝殖民资本开战。
2025年7月8日,天王星进入双子座,带来革命的激励,轰轰烈烈的美国大革命必然爆发。
#87 Re: 5年后还有人不信是美军制造并传播新冠的吗?
你是张嘴就是造谣.你老提的那篇南极样品在这里:Mountainlion 写了: 2025年 5月 9日 17:29 五毛造谣撒谎没有用,从武汉中国提交的基因数据链里发现了完全新的新馆病毒,其它地方没有,而且数据上传局推算发生在2019年中.
而且从中国上传的北极样品序列里发现了制造福林位点插入中东呼吸综合征病毒的污染序列,全部的包含病毒序列质粒都发现了。整个制造路线都被揭示清楚了。
https://zenodo.org/records/15107137
南极的土壤样品在上海测的序,和武汉有毛关系?最重要的是你贴的这个今年的新文章纯粹是为造谣而发的.
南极的土壤样品发现新冠2021年网上到处传,这是作者的原文:
https://www.researchsquare.com/article/rs-1330800/v1
当时大家都是认为南极土壤样品被送检的别的样品污染了而已,根本没啥大惊小怪的.今年这个文章造的谣是说这个检测没有上传日期,他就做了个模拟,造谣说是在2019年5月9号测序的.这傻逼也不去看看这个样本写的一清二楚是2019年12月才提取送检的,测序时间肯定晚于2019年12月.
84年前,美利坚人民向德日意极权资本开战;
再84年前,美利坚人民向南方奴隶资本开战;
再84年前,美利坚人民向英帝殖民资本开战。
2025年7月8日,天王星进入双子座,带来革命的激励,轰轰烈烈的美国大革命必然爆发。
再84年前,美利坚人民向南方奴隶资本开战;
再84年前,美利坚人民向英帝殖民资本开战。
2025年7月8日,天王星进入双子座,带来革命的激励,轰轰烈烈的美国大革命必然爆发。
#90 Re: 5年后还有人不信是美军制造并传播新冠的吗?
我就问你Atack 写了: 2025年 5月 9日 17:05 你读过Project Defuse吗?它的计划是在已有的冠状病毒骨架上插入改造的突刺蛋白.石郑丽实验室只有3个骨架可用,而新冠与她的3个骨架相差甚远.只有八里可和芒斯特才有凭空合成骨架的能力.
ade在哪里?
-
- 著名点评
我的叔叔于勒 的博客 - 帖子互动: 126
- 帖子: 5125
- 注册时间: 2022年 9月 18日 01:23
#93 Re: 5年后还有人不信是美军制造并传播新冠的吗?
新冠的起源只有自然起源和人造这两个可能。找不到中间宿主注定自然起源说只能是凭空臆测。人造说倒是有越来越多的证据,只是在感染途径上分歧越来越大。
老将们有说是石郑丽泄漏的,全然不顾无数证据否定了这个猜想,甚至有说是PLA投毒的,不仅毫无证据,更是缺乏动机和逻辑。
小将们说是军运会美军恶意投毒.我一直反对这个假说,被小将们臭骂。美军把新冠带到武汉,并没有恶意。美军踏上中国的未知土地,充满了恐惧感,在出发前接种了当时还很不完善,充满了未知风险的萨斯减活疫苗。美军在海湾战争期间,出于同样的恐惧,接种了风险更高的炭疽疫苗。
对于新冠起源的误判会是中美关系甚至是世界局势恶化的最重要因素。我可以肯定的说中国的高层已经完全的排除了自然起源和中国自己泄漏,在这个前提下,中美大战不可抗拒。川菊苣没有意识到中国高层已经把新冠定性为美军投毒,还在忽悠什么关税谈判,殊不知土共的高层是按不共戴天的生死之仇做生死决战的。
川菊苣、白等和福奇应该知情新冠是萨斯减活疫苗,由军运会带入中国。他们被这个认知误导,无法理解新冠对中国高层造成的极端恐惧和对美的无限仇恨。这个认知差异就是将来许多悲剧的源头。
在这个历史的关口,公开新冠是萨斯减活疫苗的重要性越来越大。中共没有认识到新冠是萨斯减活疫苗,误以为是萨斯再现或者美军投毒,这个误判导致了3年封城的过激行为。这次关税战的立刻反击也是这个误判的延续。在中国否定了2020年初期的自然起源后,美军投毒是中国唯一的认知,在这个认知下,中美军事决战不可避免。
老将们有说是石郑丽泄漏的,全然不顾无数证据否定了这个猜想,甚至有说是PLA投毒的,不仅毫无证据,更是缺乏动机和逻辑。
小将们说是军运会美军恶意投毒.我一直反对这个假说,被小将们臭骂。美军把新冠带到武汉,并没有恶意。美军踏上中国的未知土地,充满了恐惧感,在出发前接种了当时还很不完善,充满了未知风险的萨斯减活疫苗。美军在海湾战争期间,出于同样的恐惧,接种了风险更高的炭疽疫苗。
对于新冠起源的误判会是中美关系甚至是世界局势恶化的最重要因素。我可以肯定的说中国的高层已经完全的排除了自然起源和中国自己泄漏,在这个前提下,中美大战不可抗拒。川菊苣没有意识到中国高层已经把新冠定性为美军投毒,还在忽悠什么关税谈判,殊不知土共的高层是按不共戴天的生死之仇做生死决战的。
川菊苣、白等和福奇应该知情新冠是萨斯减活疫苗,由军运会带入中国。他们被这个认知误导,无法理解新冠对中国高层造成的极端恐惧和对美的无限仇恨。这个认知差异就是将来许多悲剧的源头。
在这个历史的关口,公开新冠是萨斯减活疫苗的重要性越来越大。中共没有认识到新冠是萨斯减活疫苗,误以为是萨斯再现或者美军投毒,这个误判导致了3年封城的过激行为。这次关税战的立刻反击也是这个误判的延续。在中国否定了2020年初期的自然起源后,美军投毒是中国唯一的认知,在这个认知下,中美军事决战不可避免。
x1

84年前,美利坚人民向德日意极权资本开战;
再84年前,美利坚人民向南方奴隶资本开战;
再84年前,美利坚人民向英帝殖民资本开战。
2025年7月8日,天王星进入双子座,带来革命的激励,轰轰烈烈的美国大革命必然爆发。
再84年前,美利坚人民向南方奴隶资本开战;
再84年前,美利坚人民向英帝殖民资本开战。
2025年7月8日,天王星进入双子座,带来革命的激励,轰轰烈烈的美国大革命必然爆发。
#94 Re: 5年后还有人不信是美军制造并传播新冠的吗?
我是支持楼主观点的。我既反对粉蛆也反对狗粮,我只站在普通黄人利益一边
即使我不懂这方面的专业知识,但是亲身经历疫情,花了大量时间从各方面获得各种信息尤其是白皮独立调查人发布的信息,综合下来觉得美第负主要责任,石某力为了钱和论文不顾死活从米地接单子,但是在土工那个垃圾学术框架下活得很滋润。甚至我怀疑石某丽,中南山、福奇、两边的cdc部门都是一伙的
这个事情,如果是包书指导下进行的,了解中国国情的人就知道,绝对会进行非常严密的防护,而且不会放在大城市闹市区,所以跟包书没有太大关系。另外从疫情发生之后,土工的进退失据手足无措和人民的慌乱了来看,这个事情不像是土工做的
还有很多零星证据,比如有报道,底特律海关在疫情之前抓到从中国来的人携带病毒试管,海关审讯后交代说是在中国institute做的项目结果递交给米地方面的institute。米第方面删除网上信息,比如军运会女自行车手的领英信息,当时在谷歌还能查到,但是到网上一看没了,比如德宝leader因为泄露而辞职的信息也很难查到了
谣言很多时候是遥遥领先的预言,阴谋论很多时候是基于大量侧面事实的英明论断
即使我不懂这方面的专业知识,但是亲身经历疫情,花了大量时间从各方面获得各种信息尤其是白皮独立调查人发布的信息,综合下来觉得美第负主要责任,石某力为了钱和论文不顾死活从米地接单子,但是在土工那个垃圾学术框架下活得很滋润。甚至我怀疑石某丽,中南山、福奇、两边的cdc部门都是一伙的
这个事情,如果是包书指导下进行的,了解中国国情的人就知道,绝对会进行非常严密的防护,而且不会放在大城市闹市区,所以跟包书没有太大关系。另外从疫情发生之后,土工的进退失据手足无措和人民的慌乱了来看,这个事情不像是土工做的
还有很多零星证据,比如有报道,底特律海关在疫情之前抓到从中国来的人携带病毒试管,海关审讯后交代说是在中国institute做的项目结果递交给米地方面的institute。米第方面删除网上信息,比如军运会女自行车手的领英信息,当时在谷歌还能查到,但是到网上一看没了,比如德宝leader因为泄露而辞职的信息也很难查到了
谣言很多时候是遥遥领先的预言,阴谋论很多时候是基于大量侧面事实的英明论断
#95 Re: 5年后还有人不信是美军制造并传播新冠的吗?
美帝这边的信息倾向性太严重,各种机构操纵舆论,普通人的认知全被扭曲了。就说jeffrey sachs吧,他算是美帝理中客的代表,他确信美帝造毒,但是他却毫无根据的把屎盆子扣到石郑丽身上,纯粹的屁股决定脑袋,或者是他根本不能说出另外一部分。
土共在新冠的应对上表明了中国的病毒研究比美帝代差严重,全是垃圾。从石郑丽到钟南山全是矮子里挑将军,在残酷的现实前不堪一击,把中国和世界拖进了无穷的灾难。
土共在新冠的应对上表明了中国的病毒研究比美帝代差严重,全是垃圾。从石郑丽到钟南山全是矮子里挑将军,在残酷的现实前不堪一击,把中国和世界拖进了无穷的灾难。
octane 写了: 2025年 5月 11日 14:05 我是支持楼主观点的。我既反对粉蛆也反对狗粮,我只站在普通黄人利益一边
即使我不懂这方面的专业知识,但是亲身经历疫情,花了大量时间从各方面获得各种信息尤其是白皮独立调查人发布的信息,综合下来觉得美第负主要责任,石某力为了钱和论文不顾死活从米地接单子,但是在土工那个垃圾学术框架下活得很滋润。甚至我怀疑石某丽,中南山、福奇、两边的cdc部门都是一伙的
这个事情,如果是包书指导下进行的,了解中国国情的人就知道,绝对会进行非常严密的防护,而且不会放在大城市闹市区,所以跟包书没有太大关系。另外从疫情发生之后,土工的进退失据手足无措和人民的慌乱了来看,这个事情不像是土工做的
还有很多零星证据,比如有报道,底特律海关在疫情之前抓到从中国来的人携带病毒试管,海关审讯后交代说是在中国institute做的项目结果递交给米地方面的institute。米第方面删除网上信息,比如军运会女自行车手的领英信息,当时在谷歌还能查到,但是到网上一看没了,比如德宝leader因为泄露而辞职的信息也很难查到了
谣言很多时候是遥遥领先的预言,阴谋论很多时候是基于大量侧面事实的英明论断
84年前,美利坚人民向德日意极权资本开战;
再84年前,美利坚人民向南方奴隶资本开战;
再84年前,美利坚人民向英帝殖民资本开战。
2025年7月8日,天王星进入双子座,带来革命的激励,轰轰烈烈的美国大革命必然爆发。
再84年前,美利坚人民向南方奴隶资本开战;
再84年前,美利坚人民向英帝殖民资本开战。
2025年7月8日,天王星进入双子座,带来革命的激励,轰轰烈烈的美国大革命必然爆发。
#96 Re: 5年后还有人不信是美军制造并传播新冠的吗?
墨菲中校2021年9月捅出了Project Defuse,是新冠溯源的里程碑。自此以后,没有任何有脸面的人敢再胡扯自然起源论。巴里克也销声匿迹很久,再也不敢大肆嘲笑。
石郑丽作为Defuse的相关方,如果她在2020年初没有向中国的调查队秘密交代的话,她就是千古罪人。
石郑丽作为Defuse的相关方,如果她在2020年初没有向中国的调查队秘密交代的话,她就是千古罪人。
84年前,美利坚人民向德日意极权资本开战;
再84年前,美利坚人民向南方奴隶资本开战;
再84年前,美利坚人民向英帝殖民资本开战。
2025年7月8日,天王星进入双子座,带来革命的激励,轰轰烈烈的美国大革命必然爆发。
再84年前,美利坚人民向南方奴隶资本开战;
再84年前,美利坚人民向英帝殖民资本开战。
2025年7月8日,天王星进入双子座,带来革命的激励,轰轰烈烈的美国大革命必然爆发。
#97 Re: 5年后还有人不信是美军制造并传播新冠的吗?
巴里克10几年前就开始通过修改3-7个控制转录调控网络 transcription regulatory network (TRN)的核酸制造萨斯减活疫苗:
Evaluation of a recombination-resistant coronavirus as a broadly applicable, rapidly implementable vaccine platform
https://www.nature.com/articles/s42003-018-0175-7
在这篇2018年的文章里,巴里克把ACGAAC修改成UGGUCGC来降低萨斯的毒性,他把这个毒株称为CRG7.这个人造的TRS前导序列UGGUCGC出现在新冠的1465个核苷酸,能产生一种新的病毒RNA 转录本,该转录本会删除 ORF 1ab 多聚蛋白中的部分nsp2蛋白,从而降低毒性.
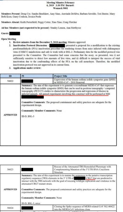
这种略作修改的减活疫苗很容易突变回原来的萨斯毒株.巴里克就想出用和萨斯有20%差异的毒株来做疫苗. 新冠就是用美军2017在老挝采集的Banal-52做主要骨架设计的(Banal-52和新冠97%的序列一致,比RATG13还高).设计出的嵌合体要进一步做serial passage,这个步骤巴里克不能做,他送给Munster的RML实验室做.附图是他在2019年2月把CRG7送给RML的会议记录.UGGUCGC和这个会议记录是巴里克设计新冠,Munster的RML进一步优化成萨斯减活疫苗的铁证.

巴里克设计萨斯减活疫苗的历史:
Sperry, S.M.; Kazi, L.; Graham, R.L.; Baric, R.S.; Weiss, S.R.; Denison, M.R. Single-Amino-Acid Substitutions in Open Reading Frame (ORF) 1b-nsp14 and ORF 2a Proteins of the Coronavirus Mouse Hepatitis Virus Are Attenuating in Mice. J. Virol. 2005, 79, 3391–3400.
Yount, B.; Roberts, R.S.; Lindesmith, L.; Baric, R.S. Rewiring the severe acute respiratory syndrome coronavirus (SARS-CoV) transcription circuit: Engineering a recombination-resistant genome. Proc. Natl. Acad. Sci. USA 2006, 103, 12546–12551
Lamirande, E.W.; DeDiego, M.L.; Roberts, A.; Jackson, J.P.; Alvarez, E.; Sheahan, T.; Shieh, W.-J.; Zaki, S.R.; Baric, R.; Enjuanes, L.; et al. A Live Attenuated Severe Acute Respiratory Syndrome Coronavirus Is Immunogenic and Efficacious in Golden Syrian Hamsters. J. Virol. 2008, 82, 7721–7724.
Rockx, B.; Donaldson, E.; Frieman, M.; Sheahan, T.; Corti, D.; Lanzavecchia, A.; Baric, R.S. Escape from Human Monoclonal Antibody Neutralization Affects In Vitro and In Vivo Fitness of Severe Acute Respiratory Syndrome Coronavirus. J. Infect. Dis. 2010, 201, 946–955
Graham, R.L.; Becker, M.M.; Eckerle, L.D.; Bolles, M.; Denison, M.R.; Baric, R.S. A live, impaired-fidelity coronavirus vaccine protects in an aged, immunocompromised mouse model of lethal disease. Nat. Med. 2012, 18, 1820–1826.
Menachery, V.D.; Yount, B.L.; Josset, L.; Gralinski, L.E.; Scobey, T.; Agnihothram, S.; Katze, M.G.; Baric, R.S. Attenuation and Restoration of Severe Acute Respiratory Syndrome Coronavirus Mutant Lacking 20 -O-Methyltransferase Activity. J. Virol. 2014, 88, 4251–4264
Zhang, R.; Li, Y.; Cowley, T.J.; Steinbrenner, A.; Phillips, J.M.; Yount, B.L.; Baric, R.S.; Weiss, S.R. The nsp1, nsp13, and M Proteins Contribute to the Hepatotropism of Murine Coronavirus JHM.WU. J. Virol. 2015, 89, 3598–3609
Menachery, V.D.; Gralinski, L.E.; Mitchell, H.D.; Dinnon, K.H., III; Leist, S.R.; Yount, B.L., Jr.; McAnarney, E.T.; Graham, R.L.; Waters, K.M.; Baric, R.S. Combination Attenuation Offers Strategy for Live Attenuated Coronavirus Vaccines. J. Virol. 2018, 92.
Graham, R.L.; Deming, D.J.; Deming, M.E.; Yount, B.L.; Baric, R.S. Evaluation of a recombination-resistant coronavirus as a broadly applicable, rapidly implementable vaccine platform. Commun. Biol. 2018, 1, 179.
Evaluation of a recombination-resistant coronavirus as a broadly applicable, rapidly implementable vaccine platform
https://www.nature.com/articles/s42003-018-0175-7
在这篇2018年的文章里,巴里克把ACGAAC修改成UGGUCGC来降低萨斯的毒性,他把这个毒株称为CRG7.这个人造的TRS前导序列UGGUCGC出现在新冠的1465个核苷酸,能产生一种新的病毒RNA 转录本,该转录本会删除 ORF 1ab 多聚蛋白中的部分nsp2蛋白,从而降低毒性.
这种略作修改的减活疫苗很容易突变回原来的萨斯毒株.巴里克就想出用和萨斯有20%差异的毒株来做疫苗. 新冠就是用美军2017在老挝采集的Banal-52做主要骨架设计的(Banal-52和新冠97%的序列一致,比RATG13还高).设计出的嵌合体要进一步做serial passage,这个步骤巴里克不能做,他送给Munster的RML实验室做.附图是他在2019年2月把CRG7送给RML的会议记录.UGGUCGC和这个会议记录是巴里克设计新冠,Munster的RML进一步优化成萨斯减活疫苗的铁证.
巴里克设计萨斯减活疫苗的历史:
Sperry, S.M.; Kazi, L.; Graham, R.L.; Baric, R.S.; Weiss, S.R.; Denison, M.R. Single-Amino-Acid Substitutions in Open Reading Frame (ORF) 1b-nsp14 and ORF 2a Proteins of the Coronavirus Mouse Hepatitis Virus Are Attenuating in Mice. J. Virol. 2005, 79, 3391–3400.
Yount, B.; Roberts, R.S.; Lindesmith, L.; Baric, R.S. Rewiring the severe acute respiratory syndrome coronavirus (SARS-CoV) transcription circuit: Engineering a recombination-resistant genome. Proc. Natl. Acad. Sci. USA 2006, 103, 12546–12551
Lamirande, E.W.; DeDiego, M.L.; Roberts, A.; Jackson, J.P.; Alvarez, E.; Sheahan, T.; Shieh, W.-J.; Zaki, S.R.; Baric, R.; Enjuanes, L.; et al. A Live Attenuated Severe Acute Respiratory Syndrome Coronavirus Is Immunogenic and Efficacious in Golden Syrian Hamsters. J. Virol. 2008, 82, 7721–7724.
Rockx, B.; Donaldson, E.; Frieman, M.; Sheahan, T.; Corti, D.; Lanzavecchia, A.; Baric, R.S. Escape from Human Monoclonal Antibody Neutralization Affects In Vitro and In Vivo Fitness of Severe Acute Respiratory Syndrome Coronavirus. J. Infect. Dis. 2010, 201, 946–955
Graham, R.L.; Becker, M.M.; Eckerle, L.D.; Bolles, M.; Denison, M.R.; Baric, R.S. A live, impaired-fidelity coronavirus vaccine protects in an aged, immunocompromised mouse model of lethal disease. Nat. Med. 2012, 18, 1820–1826.
Menachery, V.D.; Yount, B.L.; Josset, L.; Gralinski, L.E.; Scobey, T.; Agnihothram, S.; Katze, M.G.; Baric, R.S. Attenuation and Restoration of Severe Acute Respiratory Syndrome Coronavirus Mutant Lacking 20 -O-Methyltransferase Activity. J. Virol. 2014, 88, 4251–4264
Zhang, R.; Li, Y.; Cowley, T.J.; Steinbrenner, A.; Phillips, J.M.; Yount, B.L.; Baric, R.S.; Weiss, S.R. The nsp1, nsp13, and M Proteins Contribute to the Hepatotropism of Murine Coronavirus JHM.WU. J. Virol. 2015, 89, 3598–3609
Menachery, V.D.; Gralinski, L.E.; Mitchell, H.D.; Dinnon, K.H., III; Leist, S.R.; Yount, B.L., Jr.; McAnarney, E.T.; Graham, R.L.; Waters, K.M.; Baric, R.S. Combination Attenuation Offers Strategy for Live Attenuated Coronavirus Vaccines. J. Virol. 2018, 92.
Graham, R.L.; Deming, D.J.; Deming, M.E.; Yount, B.L.; Baric, R.S. Evaluation of a recombination-resistant coronavirus as a broadly applicable, rapidly implementable vaccine platform. Commun. Biol. 2018, 1, 179.
84年前,美利坚人民向德日意极权资本开战;
再84年前,美利坚人民向南方奴隶资本开战;
再84年前,美利坚人民向英帝殖民资本开战。
2025年7月8日,天王星进入双子座,带来革命的激励,轰轰烈烈的美国大革命必然爆发。
再84年前,美利坚人民向南方奴隶资本开战;
再84年前,美利坚人民向英帝殖民资本开战。
2025年7月8日,天王星进入双子座,带来革命的激励,轰轰烈烈的美国大革命必然爆发。
#98 Re: 5年后还有人不信是美军制造并传播新冠的吗?
巴里克经常提一个很微妙的概念叫dual use. PREEMPT有一个很好听的宗旨就是用萨斯减活疫苗来接种野生动物,尤其是中国和东南亚的各种萨斯潜在中间体,这样人类就不怕萨斯再现了。谁都知道这个冠冕堂皇的宗旨是胡说八道的,美帝才不会好心化巨资给全世界的蝙蝠、穿山甲等接种疫苗的。这里就是微妙的dual use的概念了,其实项目的所有人员都知道开发的疫苗不是给动物用的,而是给人用的。
这个给人用的减活疫苗因为有传染性,接种几个人全世界就有可能传遍了,疫苗公司才不会干这种荒谬的生意。但是这种疫苗的制作又相当快捷,那它的唯一用途就是给军队,只有军方才会化大钱又冒大险支持可传染的萨斯减活疫苗。
这个给人用的减活疫苗因为有传染性,接种几个人全世界就有可能传遍了,疫苗公司才不会干这种荒谬的生意。但是这种疫苗的制作又相当快捷,那它的唯一用途就是给军队,只有军方才会化大钱又冒大险支持可传染的萨斯减活疫苗。
84年前,美利坚人民向德日意极权资本开战;
再84年前,美利坚人民向南方奴隶资本开战;
再84年前,美利坚人民向英帝殖民资本开战。
2025年7月8日,天王星进入双子座,带来革命的激励,轰轰烈烈的美国大革命必然爆发。
再84年前,美利坚人民向南方奴隶资本开战;
再84年前,美利坚人民向英帝殖民资本开战。
2025年7月8日,天王星进入双子座,带来革命的激励,轰轰烈烈的美国大革命必然爆发。
#99 Re: 5年后还有人不信是美军制造并传播新冠的吗?
新冠如果说有啥积极意义的话,那就是人类不用担心萨斯再现了。Atack 写了: 2025年 5月 13日 20:43 巴里克经常提一个很微妙的概念叫dual use. PREEMPT有一个很好听的宗旨就是用萨斯减活疫苗来接种野生动物,尤其是中国和东南亚的各种萨斯潜在中间体,这样人类就不怕萨斯再现了。谁都知道这个冠冕堂皇的宗旨是胡说八道的,美帝才不会好心化巨资给全世界的蝙蝠、穿山甲等接种疫苗的。这里就是微妙的dual use的概念了,其实项目的所有人员都知道开发的疫苗不是给动物用的,而是给人用的。
这个给人用的减活疫苗因为有传染性,接种几个人全世界就有可能传遍了,疫苗公司才不会干这种荒谬的生意。但是这种疫苗的制作又相当快捷,那它的唯一用途就是给军队,只有军方才会化大钱又冒大险支持可传染的萨斯减活疫苗。
84年前,美利坚人民向德日意极权资本开战;
再84年前,美利坚人民向南方奴隶资本开战;
再84年前,美利坚人民向英帝殖民资本开战。
2025年7月8日,天王星进入双子座,带来革命的激励,轰轰烈烈的美国大革命必然爆发。
再84年前,美利坚人民向南方奴隶资本开战;
再84年前,美利坚人民向英帝殖民资本开战。
2025年7月8日,天王星进入双子座,带来革命的激励,轰轰烈烈的美国大革命必然爆发。
#101 Re: 5年后还有人不信是美军制造并传播新冠的吗?
土鳖的病毒研究人员太弱智,我嚷了这么多年新冠是萨斯减活疫苗,中文网络上没见谁响应过。板上有个中国的搞病毒的,还在咬着自然起源论。
84年前,美利坚人民向德日意极权资本开战;
再84年前,美利坚人民向南方奴隶资本开战;
再84年前,美利坚人民向英帝殖民资本开战。
2025年7月8日,天王星进入双子座,带来革命的激励,轰轰烈烈的美国大革命必然爆发。
再84年前,美利坚人民向南方奴隶资本开战;
再84年前,美利坚人民向英帝殖民资本开战。
2025年7月8日,天王星进入双子座,带来革命的激励,轰轰烈烈的美国大革命必然爆发。
#102 Re: 5年后还有人不信是美军制造并传播新冠的吗?
2020年初许多西方学者指出新冠里的UGGUCGC就是巴里克制造减活疫苗的指纹,土鳖根本不响应。去年扒出的这个会议记录是巴里克给芒斯特的落基山实验室送UGGUCGC改造的萨斯病毒的铁证。
84年前,美利坚人民向德日意极权资本开战;
再84年前,美利坚人民向南方奴隶资本开战;
再84年前,美利坚人民向英帝殖民资本开战。
2025年7月8日,天王星进入双子座,带来革命的激励,轰轰烈烈的美国大革命必然爆发。
再84年前,美利坚人民向南方奴隶资本开战;
再84年前,美利坚人民向英帝殖民资本开战。
2025年7月8日,天王星进入双子座,带来革命的激励,轰轰烈烈的美国大革命必然爆发。
#103 Re: 5年后还有人不信是美军制造并传播新冠的吗?
中国懂萨斯减活病毒的人不多,石郑丽应该是知道的最多的,但是她又是一身屎,肯定对土共隐瞒了许多内幕。最简单的一点儿就是她是制造新冠的蓝图Defuse的作者之一,她在2020年绝对没有向土共老实交代。Atack 写了: 2025年 5月 13日 21:01 2020年初许多西方学者指出新冠里的UGGUCGC就是巴里克制造减活疫苗的指纹,土鳖根本不响应。去年扒出的这个会议记录是巴里克给芒斯特的落基山实验室送UGGUCGC改造的萨斯病毒的铁证。
84年前,美利坚人民向德日意极权资本开战;
再84年前,美利坚人民向南方奴隶资本开战;
再84年前,美利坚人民向英帝殖民资本开战。
2025年7月8日,天王星进入双子座,带来革命的激励,轰轰烈烈的美国大革命必然爆发。
再84年前,美利坚人民向南方奴隶资本开战;
再84年前,美利坚人民向英帝殖民资本开战。
2025年7月8日,天王星进入双子座,带来革命的激励,轰轰烈烈的美国大革命必然爆发。