2025年度数学突破奖得主美国数学家丹尼斯·盖茨戈里因在几何朗兰兹猜想证明--错误百出

版主: CaravelTheMatrixmolen

回复
wxmwrkhp(教授)楼主
正式写手
正式写手
帖子互动: 6
帖子: 176
注册时间: 2024年 2月 16日 08:12

#1 2025年度数学突破奖得主美国数学家丹尼斯·盖茨戈里因在几何朗兰兹猜想证明--错误百出

帖子 wxmwrkhp(教授)楼主 »

美国数学家丹尼斯·盖茨戈里因在几何朗兰兹猜想证明中发挥的核心作用而获得“数学突破奖”。

图片

丹尼斯·盖茨戈里因广泛使用类比和归纳法证明数学定理和引理,十分荒唐。

为什么不能用归纳法证明?
因为设立命题时使用少量样本归纳出来的,再用少量样本证明,就不可靠了。少量样本归纳证明只是增加了命题的可信度,不能证明整个理论的正确,这就是归纳证实的局限性。因为归纳法没有充足理由仅仅依靠少量样本概括由无穷多个元素组成全称判断命题的属性。

举例哥德巴赫猜想:

原始信息(6=3+3,8=3+5,..。就是逐一归纳有限的样本,具有某种性质(两个素数之和),于是归纳推出“哥德巴赫猜想”推导出数量有无穷多个的样本也具有某种性质)。

在归纳基础上产生的猜想,通过演绎证明是不对等的。

归纳是在一个有穷大的样本中逐一列举, 只要样本空间没有被穷尽, 使用的都是简单枚举归纳推理。

对于无穷大的样本, 我们根本不可能穷尽该样本空间, (例如哥德巴赫猜想中的偶数就有无穷多个)因此只能使用简单枚举归纳推理,简单枚举归纳推理是一种扩大前提的推理, 它的结论是不可靠的。

使用归纳推理提出假说, 其假说是非常脆弱的, 因为对它的证实是不可能的, 除非你穷尽样本空间, 而一旦如此, 你使用的已经不是归纳推理了。

它的脆弱性还表现在, 只要一个反例, 就可以容易地推翻这个假说。

归纳推理是基于有限观察的,从有限样本推出一般结论的推理, 它的前提是关于个别事物具有某种性质的论断, 结论却试图得出全体事物皆具有此性质的论断,中间有一个巨大的逻辑空挡。

无穷多个样本的数学定理必须是全称判断,数学家必须完成一个:由归纳出来的有限个事实样本去证实无穷多个元素的--不可能完全证实的命题进行演绎方法证明,并且结论是全称肯定判断的正确三段论只能是第一格的AAA式。这是绝大多数数学命题证明无法做到的。

1,在假设情况下,是一种预期理由。再使用类比和归纳法更加荒唐。

在假设下可以证明.....。

现在假设E是正则的,....

我们通过类比情况推测....。

图片

2,在假设下可以证明.....。

现在假设E是正则的,....

我们通过类比情况推测....。

图片

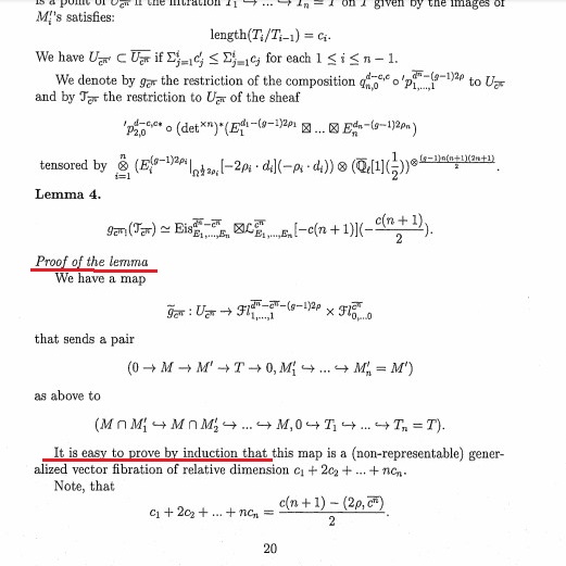
3,引理6。我们有:引理证明如下:

存在一个笛卡尔......。根据Aute的假设,通过归纳法对m进行论证,可得结论。

图片

上次由 wxmwrkhp 在 2025年 9月 13日 23:31 修改。
Bluesky
论坛支柱
论坛支柱
帖子互动: 958
帖子: 11949
注册时间: 2022年 7月 24日 11:52

#2 Re: 2025年度数学突破奖得主美国数学家丹尼斯·盖茨戈里因在几何朗兰兹猜想证明--错误百出

帖子 Bluesky »

放这里基本没用。这里能看懂论文里符号的都不多。

头像
YL7983(A Yuan)
著名点评
著名点评
帖子互动: 345
帖子: 4119
注册时间: 2022年 10月 12日 13:43

#3 Re: 2025年度数学突破奖得主美国数学家丹尼斯·盖茨戈里因在几何朗兰兹猜想证明--错误百出

帖子 YL7983(A Yuan) »

Bluesky 写了: 2025年 9月 13日 07:40

放这里基本没用。这里能看懂论文里符号的都不多。

所以才放在这里。
楼主有精神病,令人同情。
但感到遗憾的是:版主一直容忍这种垃圾!

Double squeeze
wind
著名写手
著名写手
帖子互动: 42
帖子: 239
注册时间: 2023年 2月 17日 20:29

#4 Re: 2025年度数学突破奖得主美国数学家丹尼斯·盖茨戈里因在几何朗兰兹猜想证明--错误百出

帖子 wind »

你是对归纳法有意见吗?他证明的东西我是不懂,但归纳法没有问题,那么严格的从n到n+1的保证是必须的步骤,为啥说成猜想臆测?

wxmwrkhp 写了: 2025年 9月 13日 07:20

美国数学家丹尼斯·盖茨戈里因在几何朗兰兹猜想证明中发挥的核心作用而获得“数学突破奖”。

图片

丹尼斯·盖茨戈里因广泛使用类比和归纳法证明数学定理和引理,十分荒唐。

为什么不能用归纳法证明?
因为设立命题时使用少量样本归纳出来的,再用少量样本证明,就不可靠了。少量样本归纳证明只是增加了命题的可信度,不能证明整个理论的正确,这就是归纳证实的局限性。

举例哥德巴赫猜想:

原始信息(6=3+3,8=3+5,..。就是逐一归纳有限的样本,具有某种性质(两个素数之和),于是归纳推出“哥德巴赫猜想”推导出数量有无穷多个的样本也具有某种性质)。

在归纳基础上产生的猜想,通过演绎证明是不对等的。

归纳是在一个有穷大的样本中逐一列举, 只要样本空间没有被穷尽, 使用的都是简单枚举归纳推理。

对于无穷大的样本, 我们根本不可能穷尽该样本空间, (例如哥德巴赫猜想中的偶数就有无穷多个)因此只能使用简单枚举归纳推理,简单枚举归纳推理是一种扩大前提的推理, 它的结论是不可靠的。

使用归纳推理提出假说, 其假说是非常脆弱的, 因为对它的证实是不可能的, 除非你穷尽样本空间, 而一旦如此, 你使用的已经不是归纳推理了。

它的脆弱性还表现在, 只要一个反例, 就可以容易地推翻这个假说。

归纳推理是基于有限观察的,从有限样本推出一般结论的推理, 它的前提是关于个别事物具有某种性质的论断, 结论却试图得出全体事物皆具有此性质的论断,中间有一个巨大的逻辑空挡。

无穷多个样本的数学定理必须是全称判断,数学家必须完成一个:由归纳出来的有限个事实样本去证实无穷多个元素的--不可能完全证实的命题进行演绎方法证明,并且结论是全称肯定判断的正确三段论只能是第一格的AAA式。这是绝大多数数学命题证明无法做到的。

1,在假设情况下,是一种预期理由。再使用类比和归纳法更加荒唐。

在假设下可以证明.....。

现在假设E是正则的,....

我们通过类比情况推测....。

图片

2,在假设下可以证明.....。

现在假设E是正则的,....

我们通过类比情况推测....。

图片

3,引理6。我们有:引理证明如下:

存在一个笛卡尔......。根据Aute的假设,通过归纳法对m进行论证,可得结论。

图片

Bluesky
论坛支柱
论坛支柱
帖子互动: 958
帖子: 11949
注册时间: 2022年 7月 24日 11:52

#5 Re: 2025年度数学突破奖得主美国数学家丹尼斯·盖茨戈里因在几何朗兰兹猜想证明--错误百出

帖子 Bluesky »

"它的脆弱性还表现在, 只要一个反例, 就可以容易地推翻这个假说。"
找到一个反例了吗?找到了就可以当场打脸。找不到却说别人错误百出,何不想想是否自己逻辑有问题?
就像说,现在的比特币只要攻破它的加密,它就一钱不值。你能解密吗?你若能解密,万亿的财富都归零(您)。。。。。

MrMY
知名人士
知名人士
帖子互动: 1
帖子: 57
注册时间: 2025年 9月 6日 16:26

#6 Re: 2025年度数学突破奖得主美国数学家丹尼斯·盖茨戈里因在几何朗兰兹猜想证明--错误百出

帖子 MrMY »

我还真的看了一遍

Bluesky
论坛支柱
论坛支柱
帖子互动: 958
帖子: 11949
注册时间: 2022年 7月 24日 11:52

#7 Re: 2025年度数学突破奖得主美国数学家丹尼斯·盖茨戈里因在几何朗兰兹猜想证明--错误百出

帖子 Bluesky »

MrMY 写了: 2025年 9月 13日 08:06

我还真的看了一遍

讲讲看后感?我是彻底看不懂。。。。

MrMY
知名人士
知名人士
帖子互动: 1
帖子: 57
注册时间: 2025年 9月 6日 16:26

#8 Re: 2025年度数学突破奖得主美国数学家丹尼斯·盖茨戈里因在几何朗兰兹猜想证明--错误百出

帖子 MrMY »

Bluesky 写了: 2025年 9月 13日 08:09

讲讲看后感?我是彻底看不懂。。。。

没找到一个汉字

x1 图片
MrMY
知名人士
知名人士
帖子互动: 1
帖子: 57
注册时间: 2025年 9月 6日 16:26

#9 Re: 2025年度数学突破奖得主美国数学家丹尼斯·盖茨戈里因在几何朗兰兹猜想证明--错误百出

帖子 MrMY »

Bluesky 写了: 2025年 9月 13日 08:09

讲讲看后感?我是彻底看不懂。。。。

没提供细节,
是不是每一步推到都要提供?有时候是真的较真

Bluesky
论坛支柱
论坛支柱
帖子互动: 958
帖子: 11949
注册时间: 2022年 7月 24日 11:52

#10 Re: 2025年度数学突破奖得主美国数学家丹尼斯·盖茨戈里因在几何朗兰兹猜想证明--错误百出

帖子 Bluesky »

所谓猜想,就是看到一个现象,试着假设后面的规律。科学的道路从来都是大胆假设,小心求证。
证明猜想是需要严谨,严密。这位数学家并没有被冠以“给出了这个猜想的完整证明”,而是说有突破,“发挥核心作用”。
探索是艰难的,而批评别人是容易的。

wind
著名写手
著名写手
帖子互动: 42
帖子: 239
注册时间: 2023年 2月 17日 20:29

#11 Re: 2025年度数学突破奖得主美国数学家丹尼斯·盖茨戈里因在几何朗兰兹猜想证明--错误百出

帖子 wind »

MrMY 写了: 2025年 9月 13日 08:19

没提供细节,
是不是每一步推到都要提供?有时候是真的较真

当然不是每一步推导都需要写出来的,随着知识储备的增加,显而易见的东西越来越多,这些就不需要写出来了。常犯的错误就是把不是显然的东西认为是显然给带过去了。楼主的反对意见好像是认为归纳法不能用,并举出哥德巴赫猜想的例子。但是归纳法根本不能用来证明哥德巴赫猜想,因为n到n+1过不去

头像
TheMatrix
论坛支柱
论坛支柱
2024年度优秀版主
TheMatrix 的博客
帖子互动: 277
帖子: 13624
注册时间: 2022年 7月 26日 00:35

#12 Re: 2025年度数学突破奖得主美国数学家丹尼斯·盖茨戈里因在几何朗兰兹猜想证明--错误百出

帖子 TheMatrix »

YL7983 写了: 2025年 9月 13日 07:44

所以才放在这里。
楼主有精神病,令人同情。
但感到遗憾的是:版主一直容忍这种垃圾!

楼主不扰民,还可以。

而且楼主的文章也基本上没有人能判断是否错误。太长了,也充满了跳跃,很难判断。

就好像有个雷奕安的新量子理论。你很难判断它是否正确,或者错误。

但是它至少花了精力,这个是一眼就能看出来的。

头像
YL7983(A Yuan)
著名点评
著名点评
帖子互动: 345
帖子: 4119
注册时间: 2022年 10月 12日 13:43

#13 Re: 2025年度数学突破奖得主美国数学家丹尼斯·盖茨戈里因在几何朗兰兹猜想证明--错误百出

帖子 YL7983(A Yuan) »

TheMatrix 写了: 2025年 9月 13日 09:40

楼主不扰民,还可以。

而且楼主的文章也基本上没有人能判断是否错误。太长了,也充满了跳跃,很难判断。

就好像有个雷奕安的新量子理论。你很难判断它是否正确,或者错误。

但是它至少花了精力,这个是一眼就能看出来的。

楼主已经找出了几乎所有中国一流数学家的错误,这个名单包括不限于陈景润,华罗庚,田刚,张伟平,袁亚湘,田野,陈永川,龙以民。还有陶哲轩,丘成桐,Ati ya h,陈省身这些当代几乎是最牛的数学家。他们的专业几乎涵盖了整个的数学。

所以不需要有数学知识,就知道楼主是在胡说八道,因为世界上就不存在这样一个人可以评论所有这些人的工作。

买卖体上人来人去,大多数很可能就会被误导,所以说这肯定是扰民。

楼主确实花了很多精力,我大胆猜想,楼主也是一位数学家,可能个人受不公正待遇导致精神失常,没错,看他的写作肯定懂一些数学,
但明显东拉西扯不知所云,很像是一位练功走火入魔者。
也挺令人同情,如果发帖能够缓解他自己那也行吧。

当然,班主为了流量,喜欢看到很多人回帖,算我没说。

这也是我最后一次回这位楼主的帖。

x1 图片
Double squeeze
Bluesky
论坛支柱
论坛支柱
帖子互动: 958
帖子: 11949
注册时间: 2022年 7月 24日 11:52

#14 Re: 2025年度数学突破奖得主美国数学家丹尼斯·盖茨戈里因在几何朗兰兹猜想证明--错误百出

帖子 Bluesky »

不当数学家,当批评家了。。。。数学家很艰难,批评家很容易。

Rather(Yes)
论坛点评
论坛点评
帖子互动: 182
帖子: 2865
注册时间: 2022年 8月 7日 18:03

#15 Re: 2025年度数学突破奖得主美国数学家丹尼斯·盖茨戈里因在几何朗兰兹猜想证明--错误百出

帖子 Rather(Yes) »

YL7983 写了: 2025年 9月 13日 10:51

楼主已经找出了几乎所有中国一流数学家的错误,这个名单包括不限于陈景润,华罗庚,田刚,张伟平,袁亚湘,田野,陈永川,龙以民。还有陶哲轩,丘成桐,Ati ya h,陈省身这些当代几乎是最牛的数学家。他们的专业几乎涵盖了整个的数学。

所以不需要有数学知识,就知道楼主是在胡说八道,因为世界上就不存在这样一个人可以评论所有这些人的工作。

买卖体上人来人去,大多数很可能就会被误导,所以说这肯定是扰民。

楼主确实花了很多精力,我大胆猜想,楼主也是一位数学家,可能个人受不公正待遇导致精神失常,没错,看他的写作肯定懂一些数学,
但明显东拉西扯不知所云,很像是一位练功走火入魔者。
也挺令人同情,如果发帖能够缓解他自己那也行吧。

当然,班主为了流量,喜欢看到很多人回帖,算我没说。

这也是我最后一次回这位楼主的帖。

对头,太能了几乎可以肯定是mental problem。坚持不懈的就可以确认了,不需要懂数学。

回复

回到 “史海钩沉(History)”