中国科学界烂透了国耻已经不足以形容-国家最高科学奖数学项目全部都是假货

版主: CaravelTheMatrixmolen

回复
wxmwrkhp(教授)楼主
正式写手
正式写手
帖子互动: 6
帖子: 176
注册时间: 2024年 2月 16日 08:12

#1 中国科学界烂透了国耻已经不足以形容-国家最高科学奖数学项目全部都是假货

帖子 wxmwrkhp(教授)楼主 »

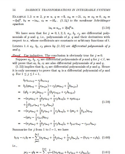
谷超豪使用归纳法证明

为什么不能用归纳法证明?

因为设立命题时使用少量样本归纳出来的,再用少量样本证明,就不可靠了。少量样本归纳证明只是增加了命题的可信度,不能证明整个理论的正确,这就是归纳证实的局限性。

因为归纳法没有充足理由仅仅依靠少量样本概括由无穷多个元素组成全称判断命题的属性。

举例哥德巴赫猜想:

原始信息(6=3+3,8=3+5,..。就是逐一归纳有限的样本,具有某种性质(两个素数之和),于是归纳推出“哥德巴赫猜想”推导出数量有无穷多个的样本也具有某种性质)。

在归纳基础上产生的猜想,通过演绎证明是不对等的。

归纳是在一个有穷大的样本中逐一列举, 只要样本空间没有被穷尽, 使用的都是简单枚举归纳推理。

对于无穷大的样本, 我们根本不可能穷尽该样本空间, (例如哥德巴赫猜想中的偶数就有无穷多个)因此只能使用简单枚举归纳推理,简单枚举归纳推理是一种扩大前提的推理, 它的结论是不可靠的。

使用归纳推理提出假说, 其假说是非常脆弱的, 因为对它的证实是不可能的, 除非你穷尽样本空间, 而一旦如此, 你使用的已经不是归纳推理了。

它的脆弱性还表现在, 只要一个反例, 就可以容易地推翻这个假说。

归纳推理是基于有限观察的,从有限样本推出一般结论的推理, 它的前提是关于个别事物具有某种性质的论断, 结论却试图得出全体事物皆具有此性质的论断,中间有一个巨大的逻辑空挡。

无穷多个样本的数学定理必须是全称判断,数学家必须完成一个:由归纳出来的有限个事实样本去证实无穷多个元素的--不可能完全证实的命题进行演绎方法证明,并且结论是全称肯定判断的正确三段论只能是第一格的AAA式。这是绝大多数数学命题证明无法做到的。

谷超豪思维混乱,完全没有逻辑学常识,所有的论文都是错误的(就是说,没有一篇论文是正确的)图片

图片

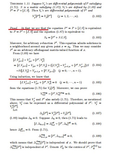
谷超豪的学生李大潜也是智障,他的定理有:假设-进一步假设,最后假设。即三重假设。
定理必须是明确的判断,这么多假设,就不是定理。
图片


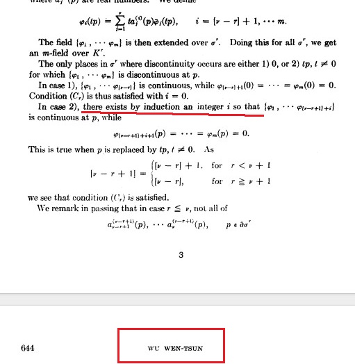
吴文俊机器证明数学定理

吴文俊是首位中国国家最高科学奖的得主,因为在数学机械化方面的谎言。
那么什么是数学机械化呢?

就是用计算机完成数学的方程计算和命题证明。

计算机解方程早已不是新闻。

计算机证明研究在2006年结束。

代码: 全选

  机器证明数学定理已经失败。因为:


    因为,目前命题逻辑还有许许多多的问题没有解决,是不可能对复杂问题进行证明的。

  为什么机器证明数学定理是荒唐的?

首先,所有的数学定理全部都是全称判断,即“一切A是B”。。

其次,所有的全称判断的主项都是“普遍概念”或者“单独概念”。

第三,普遍概念的定义就是依据事物的属性。
有属性的定理只能够来自演绎推理,即三段论的形式。(形式)。

第四,机器不能判定属性。例如判定一个人的性别是生物化学的工作,即染色体xx是女人,xy是男人。

机器证明数学命题本质就是—人工智障!而机器仅能执行符号操作,

无法理解属性背后的语义.。
吴文俊归纳法证明
图片
吴文俊大脑里面如果还残存一丝丝智商,就不会搞机器证明数学定理。
中国数学界就是一群乌合之众。

上次由 wxmwrkhp 在 2025年 9月 29日 06:59 修改。
头像
mmking(上水)
论坛支柱
论坛支柱
帖子互动: 1677
帖子: 12348
注册时间: 2023年 1月 25日 05:10

#2 Re: 国家最高科学奖数学项目全部都是假货

帖子 mmking(上水) »

太长

你写篇paper去骂岂不更爽

又开赌盘了,看看川宝会不会反对台湾独立:viewtopic.php?t=880584

凡所有相,皆是虚妄

viewtopic.php?t=864957

图片

回复

回到 “史海钩沉(History)”