田刚和陶哲轩的数学命题证明为什么是无效的

版主: CaravelTheMatrixmolen

回复
wxmwrkhp(教授)楼主
正式写手
正式写手
帖子互动: 6
帖子: 176
注册时间: 2024年 2月 16日 08:12

#1 田刚和陶哲轩的数学命题证明为什么是无效的

帖子 wxmwrkhp(教授)楼主 »

命题的产生
我们想想,命题是怎么产生的?需要怎么样去证明?

演绎证明某事肯定是这样,演绎是从一般到特殊,只有演绎推理形式是必然有效的,因为大范畴的存在,是小范畴存在的充分条件,所以,演绎推理是必然的因果关系推理。

归纳说明某事在实际上是有效的,归纳是从一些特殊到一般。

溯因推理是说某事可能是这样。溯因推理是推理形式最弱的一种。

溯因推理借助不完全归纳,预测成为一个命题叫做猜想(证明一个猜想是告诉你结果,让你按照规则找出原因-过程的必然性,把道理讲清楚)。

归纳只能预测,不能证明。

我们证明一个数学命题就是一种整体上弱势溯因加归纳推理,每一个局部需要强势演绎推理。

为什么不能用归纳法证明?因为设立命题时是使用少量样本归纳出来的,再用少量样本证明,就不可靠了。

用哥德巴赫猜想举例:

原始信息(6=3+3,8=3+5,..。就是逐一归纳有限的样本,具有某种性质(两个素数之和),于是归纳推出“哥德巴赫猜想”推导出(预测)有无穷多个的数量样本的偶数也具有某种性质)。

在有限数量基础上归纳产生的猜想,通过演绎证明是不对等的。

归纳是在一个有穷大的样本中逐一列举, 只要样本空间没有被穷尽, 使用的都是简单枚举归纳推理。

而命题是对于无穷大的样本, 我们根本不可能穷尽该样本空间, (例如哥德巴赫猜想中的偶数就有无穷多个)因此只能使用简单枚举归纳推理,简单枚举归纳推理是一种扩大了前提条件的推理, 它的结论是不可靠的。

使用归纳推理提出假说, 其假说是非常脆弱的, 因为对它的逐一证实是绝对不可能的, 除非你穷尽样本空间, 而一旦这样, 你使用的已经不是归纳推理了。

它的脆弱性体是:只要一个反例, 就可以推翻这个假说命题。

无穷多个样本的数学定理必须是全称判断,数学家必须完成一个:由归纳出来的有限个事实样本去证实无穷多个元素的--不可能完全证实的命题进行演绎方法证明,并且结论是全称肯定判断的正确三段论只能是第一格的AAA式。这是绝大多数数学命题证明无法做到的。

归纳法可以正确预测出没有属性的结构性命题例如恒等式。归纳法无法预测出具有属性的全称判断命题。命题属性的结论来源于演绎法大前提,大前提中的属性必须通过定义方法完成。

溯因加归纳推理是从结果追溯原因的推理,溯因推理是采纳预测的推理.-—— 一个留待观察的假说,归纳产生的全称命题。它仅以疑问的或猜测的方式断定其结论是真的。

归纳推理是基于有限观察的,从有限样本推出一般结论的推理, 它的前提是关于个别事物具有某种性质的论断, 结论却试图得出全体事物皆具有此性质的论断,结论所断定的知识范围超出了前提所包含的知识范围。中间有一个巨大的逻辑空挡。

不完全归纳出来的全称判断形成的待证命题,怎么可能通过演绎推理回到初始信息?怎么越过这个巨大的逻辑空挡,让初始信息变成一个定理?

归纳产生的样本,推导出命题,归纳的样本没有进入命题因果关系;没有进入证据链,前提不是结论(即全称判断的命题)的必然原因,所以只能是猜测。

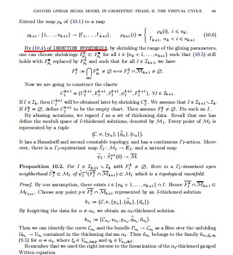
因为少量归纳产生的元素具有某种属性,夸大和膨胀了命题属性(有无穷多个元素),证明命题时候就要填补这个夸大的空缺。数学家拿什么填补这个空缺?
图片

图片

首先,所有的数学定理都是明确的全称判断,明确的意思就是必然判断,而不能是模棱两可的或然判断。

其次,要想结论是必然判断,就必须每一步都是必然判断。必然判断结论只能是演绎推理。

如果前提是或然判断,那么结论必然是或然判断。

估计,多重估计;假设,多重假设都是或然判断。

因为数学是研究数量-空间结构-数量和空间结构的变化,我们面对的情况是复杂的和变化的,常常需要从一个时空到另外一个时空,从一个命题推出另外一个命题,从一个判断中得到另外一个判断。

我们从已知命题推断出未知命题的行为叫推理,已知命题叫前提,未知命题叫结论。我们证明一个结论的系统化行为,叫做论证。

逻辑就是确保这些推理和论证能够有效的规则。逻辑学就是研究这些有效推论和论证规则与标准的学科。

我们借助从老命题引向新的命题-从已知引向未知的。

只有演绎推理形式是必然有效的,因为大范畴的存在,是小范畴存在的充分条件,所以,演绎推理是必然的因果关系推理。

而归纳和类比推理不是,逻辑上也不会用有效性与否来评价这两类推理,只会说归纳强度和类比的可接受性。所以也叫或然性推理。

数学定理不能是或然判断。逻辑的本质就是必然得出。演绎推理的前提不能是或然判断的“估计”。

所以,逻辑的合法性来自于形式的合理性,而形式的合理性来自于实践的有效性。
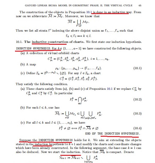
陶哲轩归纳法证明

图片

上次由 wxmwrkhp 在 2025年 10月 12日 07:04 修改。
苍井吱(苍井吱吱)
见习点评
见习点评
帖子互动: 174
帖子: 1770
注册时间: 2024年 6月 17日 15:27

#2 Re: 田刚的数学命题证明为什么是无效的

帖子 苍井吱(苍井吱吱) »

我都要看笑了

洋洋洒洒一大篇,唯一的公式是6=3+3,8=3+5

你这都不能称民科,只能叫文盲

2021年度十大优秀网友
2028年度优秀版主
按摩店前股东
脑特残的荣誉爹地

回复

回到 “史海钩沉(History)”