Evaluation of a recombination-resistant coronavirus as a broadly applicable, rapidly implementable vaccine platform
https://www.nature.com/articles/s42003-018-0175-7
在这篇2018年的文章里,巴里克把ACGAAC修改成UGGUCGC来降低萨斯的毒性,他把这种修改了7个核苷酸的萨斯毒株称为CRG7.需要强调的是这个人造的TRS前导序列UGGUCGC出现在新冠序列的第1465个核苷酸,能产生一种新的病毒RNA 转录本,该转录本会删除 ORF 1ab 多聚蛋白中的部分nsp2蛋白,从而降低毒性.新冠2020年出现后,许多人根据这个UGGUCGC(DNA序列是TGGTCGC)减活基因改造指纹推测新冠是萨斯减活疫苗,然而这个观点会对应对新冠的各种措施造成巨大的阻力,很快就被消声了.
这种2018年文章里略作修改的减活疫苗很容易突变回复成原来的超强致死的萨斯毒株.巴里克一直在探求一个和萨斯有25%差异的序列,推测这样的一个序列会触发足够的对萨斯的免疫反应,但又没有萨斯那么强的毒性, 还可以减少疫苗突变会萨斯的可能性.这个骨架的选取是非常复杂的,不是随便一个冠状病毒就会有足够的对萨斯的免疫活性,还要做各种额外的修改优化,比如臭名昭著的PRRAR弗林酶切点位插入.他最终的选择应该是2017年美军在老挝采集的蝙蝠冠状病毒Banal-52,和新冠97%的序列一致,而曾经被穷追猛打的RATG13只有96%.理论设计出的基因序列拆成6段,由外包公司合成后再组装成嵌合体.
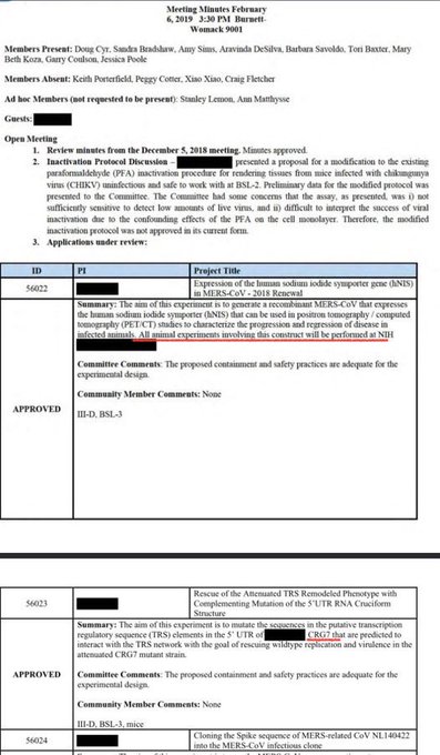
基于理论设计组装的病毒嵌合体不一定能在真实的细胞中感染生长,要进一步做serial passage优化,这个步骤巴里克不能做,他送给Vincent Munster的落基山实验室RML做.附图是他在2019年2月把修改了TRS前导序列的CRG7送给RML的会议记录.新冠出现UGGUCGC减活指纹和这个会议记录是巴里克设计新冠,Munster的RML进一步优化成萨斯减活疫苗的铁证之一。值得一提的是, 新冠仅在五种已知哺乳动物中有效传播:美洲鹿、美洲鹿鼠、叙利亚仓鼠、美洲水貂和埃及果蝠——均在Munster的落基山实验室中发现。新冠不会感染中国实验室常见或武汉病毒研究所的实验动物,例如中国菊头蝠。
巴里克经常提一个很微妙的概念叫dual use. 资助这个萨斯减活疫苗的项目PREEMPT有一个很高大的宗旨就是开发萨斯减活疫苗来接种野生动物,尤其是中国和东南亚的各种萨斯潜在中间体,这样中间体萨斯免疫后就不会感染携带萨斯,人类也就不用怕萨斯再现了。谁都知道这个冠冕堂皇的宗旨是胡说八道的,美国连给人用的新冠疫苗都是高价限量,才不会好心化巨资给全世界的野生蝙蝠、穿山甲等接种萨斯疫苗的。这里就是微妙的只可意会,不可言传书写的dual use的概念了,其实项目的所有人员都知道开发的疫苗不是给动物用的,而是给人用的。
这个给人用的萨斯减活疫苗因为有传染性,接种几个人全世界就有可能传遍了,疫苗公司才不会干这种荒谬的生意。但是这种疫苗的制作又相当快捷,那它的唯一用途就是给军队,这就又是只可意会,不可言传书写的dual use了,只有军方才会化大钱又冒大险接种这种可传染的萨斯减活疫苗。UNC/RML开发的这个萨斯减活疫苗,有可能根据dual use,交接给军方的德特里克堡实验室做进一步的开发. 美军一向对没经过足够检验的疫苗很痴迷,比如海湾战争期间给士兵接种了炭疽疫苗,副作用死伤惨重。美军对自1945年撤离中国于2019年在军运会上再次踏上中国的土地充满恐惧,出发前接种萨斯减活疫苗是顺理成章的推测。军运会期间, 5名美军运动员突发高热,被专机接回,大抵就是疫苗的副作用.
顺便说一个可以排除武汉病毒所制造新冠的一个技术细节:武汉病毒所使用BAC平台,只能用分离的病毒做骨架来改造病毒, 而WIV只有WIV1、WIV16和Rs4874三种分离的病毒。这三种病毒与新冠序列相差甚远。另外,武汉病毒所从未分离或培养蝙蝠病毒RaTG13,仅作为短测序序列组装的核苷酸序列存在. UNC使用cDNA法,可以将6大段只在理论上存在的序列凭空合成后“无缝”地拼接在一起。巴里克说过他没有教过武汉病毒所“无缝”法的细节.
附录. 巴里克设计萨斯减活疫苗的历史:
Yount, B.; Roberts, R.S.; Lindesmith, L.; Baric, R.S. Rewiring the severe acute respiratory syndrome coronavirus (SARS-CoV) transcription circuit: Engineering a recombination-resistant genome. Proc. Natl. Acad. Sci. USA 2006, 103, 12546–12551
Lamirande, E.W.; DeDiego, M.L.; Roberts, A.; Jackson, J.P.; Alvarez, E.; Sheahan, T.; Shieh, W.-J.; Zaki, S.R.; Baric, R.; Enjuanes, L.; et al. A Live Attenuated Severe Acute Respiratory Syndrome Coronavirus Is Immunogenic and Efficacious in Golden Syrian Hamsters. J. Virol. 2008, 82, 7721–7724.
Rockx, B.; Donaldson, E.; Frieman, M.; Sheahan, T.; Corti, D.; Lanzavecchia, A.; Baric, R.S. Escape from Human Monoclonal Antibody Neutralization Affects In Vitro and In Vivo Fitness of Severe Acute Respiratory Syndrome Coronavirus. J. Infect. Dis. 2010, 201, 946–955
Graham, R.L.; Becker, M.M.; Eckerle, L.D.; Bolles, M.; Denison, M.R.; Baric, R.S. A live, impaired-fidelity coronavirus vaccine protects in an aged, immunocompromised mouse model of lethal disease. Nat. Med. 2012, 18, 1820–1826.
Menachery, V.D.; Yount, B.L.; Josset, L.; Gralinski, L.E.; Scobey, T.; Agnihothram, S.; Katze, M.G.; Baric, R.S. Attenuation and Restoration of Severe Acute Respiratory Syndrome Coronavirus Mutant Lacking 20 -O-Methyltransferase Activity. J. Virol. 2014, 88, 4251–4264
Zhang, R.; Li, Y.; Cowley, T.J.; Steinbrenner, A.; Phillips, J.M.; Yount, B.L.; Baric, R.S.; Weiss, S.R. The nsp1, nsp13, and M Proteins Contribute to the Hepatotropism of Murine Coronavirus JHM.WU. J. Virol. 2015, 89, 3598–3609
Menachery, V.D.; Gralinski, L.E.; Mitchell, H.D.; Dinnon, K.H., III; Leist, S.R.; Yount, B.L., Jr.; McAnarney, E.T.; Graham, R.L.; Waters, K.M.; Baric, R.S. Combination Attenuation Offers Strategy for Live Attenuated Coronavirus Vaccines. J. Virol. 2018, 92.
Graham, R.L.; Deming, D.J.; Deming, M.E.; Yount, B.L.; Baric, R.S. Evaluation of a recombination-resistant coronavirus as a broadly applicable, rapidly implementable vaccine platform. Commun. Biol. 2018, 1, 17





